Effects of antifungal drugs and delivery vehicles on morphology and proliferation of equine corneal keratocytes in vitro

Rachel L. Davis1,2 | Adrian J Reber2 | David J Hurley2 | Ursula M Dietrich2

Objective

To evaluate the effects of topical antifungal drugs and delivery vehicles on the morphology and proliferation rate of cultured equine keratocytes.

Study population

16 corneas obtained from 8 apparently ophthalmologically normal horses < 0.5 hours after euthanasia for reasons unrelated to the study.

Procedures

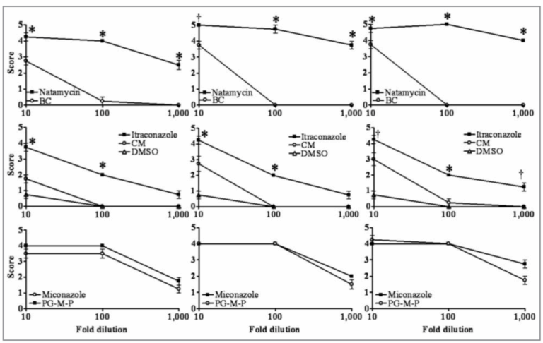
Primary cultures of equine keratocytes were obtained from corneal stroma and were exposed to several concentrations of 3 commonly used, topically applied antifungals: natamycin, itraconazole, and miconazole. In addition, effects of drug delivery vehicles DMSO, benzalkonium chloride, and carboxymethylcellulose and a combination vehicle composed of polyethylene glycol, methylparaben, and propylparaben were also evaluated. Morphological changes and cellular proliferation were assessed 24, 48, and 72 hours after application.

Results

At the highest concentrations tested, all antifungals caused marked cellular morphological changes and inhibited proliferation. At low concentrations, natamycin and miconazole induced rounding, shrinking, and detaching of the cells with inhibition of cellular proliferation. Natamycin caused the most severe cellular changes. Itraconazole, at the low concentrations, caused minimal morphological changes and had a minimal effect on proliferation. All vehicles tested had significantly less effects on cellular morphology and proliferation when compared with the antifungals, except for the combination vehicle, which caused severe morphological changes and inhibited proliferation, even at low concentrations. The DMSO had minimal effects on cellular morphology and proliferation, even at high concentrations.

Conclusions and clinical relevance

Itraconazole had significantly less cytotoxic effects on equine keratocytes in culture than did natamycin or miconazole. Natamycin had severe cytotoxic effects in vitro.

Images

Keywords: equine keratocytes, topical antifungal drugs, natamycin cytotoxicity, itraconazole safety, miconazole effects, equine corneal cells, antifungal cytotoxicity, keratocyte morphology, keratocyte proliferation, antifungal drug vehicles, DMSO effects, benzalkonium chloride, carboxymethylcellulose, equine ophthalmology, fungal keratitis treatment

1Animal Eye Clinic, Westfield, Indiana, USA
2Department of Small Animal Medicine and Surgery, College of Veterinary Medicine, University of Georgia, Athens, GA 30602, USA

Correspondence:
Rachel L. Davis, DVM, MS, Diplomate, ACVO – Ophthalmologist

Animal Eye Clinic
4750 Killarney Drive
Carmel, IN 46033

Email: info@indyaec.com